#L10720. [GESP202406 五级] 小杨的幸运数字

[GESP202406 五级] 小杨的幸运数字

CF1987G2 Spinning Round (Hard Version)

题目描述

This is the hard version of the problem. The only difference between the two versions are the allowed characters in s s . You can make hacks only if both versions of the problem are solved.

You are given a permutation p p of length n n . You are also given a string s s of length n n , where each character is either L, R, or ?.

For each i i from 1 1 to n n :

  • Define li l_i as the largest index j<i j < i such that pj>pi p_j > p_i . If there is no such index, li:=i l_i := i .
  • Define ri r_i as the smallest index j>i j > i such that pj>pi p_j > p_i . If there is no such index, ri:=i r_i := i .

Initially, you have an undirected graph with n n vertices (numbered from 1 1 to n n ) and no edges. Then, for each i i from 1 1 to n n , add one edge to the graph:

  • If si= s_i = L, add the edge (i,li) (i, l_i) to the graph.
  • If si= s_i = R, add the edge (i,ri) (i, r_i) to the graph.
  • If si= s_i = ?, either add the edge (i,li) (i, l_i) or the edge (i,ri) (i, r_i) to the graph at your choice.

Find the maximum possible diameter over all connected ^{\text{∗}} graphs that you can form. Output 1 -1 if it is not possible to form any connected graphs.

^{\text{∗}} Let d(s,t) d(s, t) denote the smallest number of edges on any path between s s and t t .

The diameter of the graph is defined as the maximum value of d(s,t) d(s, t) over all pairs of vertices s s and t t .

输入格式

Each test contains multiple test cases. The first line of input contains a single integer t t ( 1t2104 1 \le t \le 2 \cdot 10^4 ) — the number of test cases. The description of the test cases follows.

The first line of each test case contains a single integer n n ( 2n4105 2 \le n \le 4 \cdot 10^5 ) — the length of the permutation p p .

The second line of each test case contains n n integers p1,p2,,pn p_1,p_2,\ldots, p_n ( 1pin 1 \le p_i \le n ) — the elements of p p , which are guaranteed to form a permutation.

The third line of each test case contains a string s s of length n n . It is guaranteed that it consists only of the characters L, R, and ?.

It is guaranteed that the sum of n n over all test cases does not exceed 4105 4 \cdot 10^5 .

输出格式

For each test case, output the maximum possible diameter over all connected graphs that you form, or 1 -1 if it is not possible to form any connected graphs.

输入输出样例 1

8
5
2 1 4 3 5
R?RL?
2
1 2
LR
3
3 1 2
L?R
7
5 3 1 6 4 2 7
?R?R?R?
5
5 2 1 3 4
?????
6
6 2 3 4 5 1
?LLRLL
8
1 7 5 6 2 8 4 3
?R??????
12
6 10 7 1 8 5 12 2 11 3 4 9
????????????
3
-1
-1
4
4
3
5
8

说明/提示

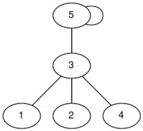
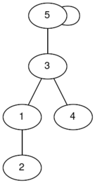
In the first test case, there are two connected graphs (the labels are indices):

The graph on the left has a diameter of 2 2 , while the graph on the right has a diameter of 3 3 , so the answer is 3 3 .

In the second test case, there are no connected graphs, so the answer is 1 -1 .