#L7994. [USACO21DEC] Air Cownditioning B

[USACO21DEC] Air Cownditioning B

CF1771D Hossam and (sub-)palindromic tree

题目描述

Hossam has an unweighted tree G G with letters in vertices.

Hossam defines s(v,u) s(v, \, u) as a string that is obtained by writing down all the letters on the unique simple path from the vertex v v to the vertex u u in the tree G G .

A string a a is a subsequence of a string s s if a a can be obtained from s s by deletion of several (possibly, zero) letters. For example, "dores", "cf", and "for" are subsequences of "codeforces", while "decor" and "fork" are not.

A palindrome is a string that reads the same from left to right and from right to left. For example, "abacaba" is a palindrome, but "abac" is not.

Hossam defines a sub-palindrome of a string s s as a subsequence of s s , that is a palindrome. For example, "k", "abba" and "abhba" are sub-palindromes of the string "abhbka", but "abka" and "cat" are not.

Hossam defines a maximal sub-palindrome of a string s s as a sub-palindrome of s s , which has the maximal length among all sub-palindromes of s s . For example, "abhbka" has only one maximal sub-palindrome — "abhba". But it may also be that the string has several maximum sub-palindromes: the string "abcd" has 4 4 maximum sub-palindromes.

Help Hossam find the length of the longest maximal sub-palindrome among all s(v,u) s(v, \, u) in the tree G G .

Note that the sub-palindrome is a subsequence, not a substring.

输入格式

The first line contains one integer t t ( 1t200 1 \le t \le 200 ) — the number of test cases.

The first line of each test case has one integer number n n ( 1n2103 1 \le n \le 2 \cdot 10^3 ) — the number of vertices in the graph.

The second line contains a string s s of length n n , the i i -th symbol of which denotes the letter on the vertex i i . It is guaranteed that all characters in this string are lowercase English letters.

The next n1 n - 1 lines describe the edges of the tree. Each edge is given by two integers v v and u u ( 1v,un 1 \le v, \, u \le n , vu v \neq u ). These two numbers mean that there is an edge (v,u) (v, \, u) in the tree. It is guaranteed that the given edges form a tree.

It is guaranteed that sum of all n n doesn't exceed 2103 2 \cdot 10^3 .

输出格式

For each test case output one integer — the length of the longest maximal sub-palindrome among all s(v,u) s(v, \, u) .

输入输出样例 1

2
5
abaca
1 2
1 3
3 4
4 5
9
caabadedb
1 2
2 3
2 4
1 5
5 6
5 7
5 8
8 9
3
5

说明/提示

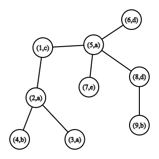
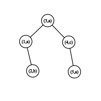
In the first example the maximal subpalindromes are "aaa" with letters in vertices 1,3,5 1, \, 3, \, 5 , or "aca" with letters in vertices 1,4,5 1, \, 4, \, 5 .

The tree from the first example.In the second example there is only one maximal palindrome "bacab" with letters in vertices 4,2,1,5,9 4, \, 2, \, 1, \, 5, \, 9 .

The tree from the second example.